Business
1 min read
190

Rs 1500 prize bond full list; Check here

February 16, 2026
0
Rs 1500 prize bond full list; Check here

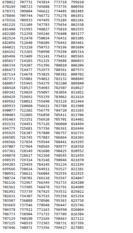
ISLAMABAD: The National Savings Centre conducted a prize bond draw for Rs 1,500 on Monday, February 16, 2026, in Lahore, and the results have been announced.

The first prize of 30 lakhs has been awarded to one person, with the winning prize bond number being 0919925.

The second prize, worth 10 lakhs, has been awarded to three individuals. The winning numbers for the second prize are 106210, 502971, and 916702.

The third prize of Rs 18,500 will be given to 1,696 winners.

Please note that this Rs 1,500 draw is held monthly by the National Savings Centre. Prize bonds are considered a safe investment since the original amount remains intact, and cash is awarded to the prize winners.

Winners can claim their prize money at National Savings offices or related bank branches. Tax will be deducted from the prize money as per the applicable regulations.

This is a developing story, and further updates will be provided as soon as the complete list is received.

Leave a Reply

Your email address will not be published. Required fields are marked *

Related Posts